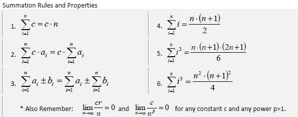
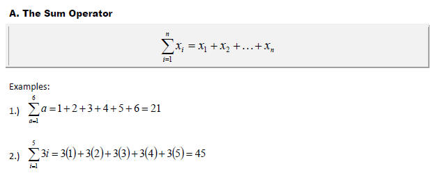
The Definition of X
i
and DeltaX are EXTREMELY important here.