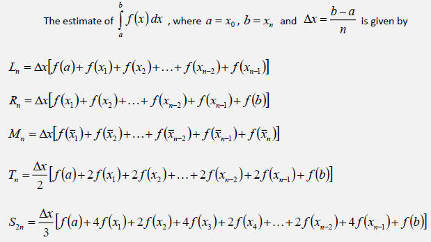
Two more methods for approximations are the trapezoid and Simpson rules. All five are stated above.

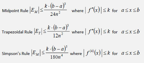
Error bounds let us calculate the amount of error between approximations and the true integral for a set partition (n).