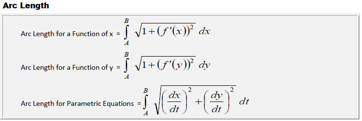
Try some calculations and check your work here