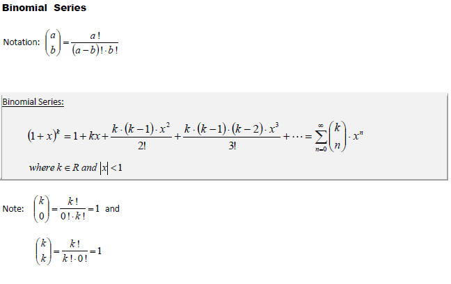
In depth, 10 minute tutoring session binomial expansion: